SCR 催化劑的砷中毒研究
燃煤電廠排放的氮氧化物是促使酸雨形成的主要大氣污染物之一,其排放量隨著火電機組裝機容量的逐年增加而增加,如果不采取有效措施,必將會對環境產生嚴重破壞。隨著我國環境保護法律、法規的日趨嚴格及執法力度的加大,我國對燃煤電廠NOx排放的控制也將更加嚴格。選擇性催化還原法(SCR)煙氣脫硝技術因其成熟、脫硝率高、無二次污染等特點,將得到更廣泛的應用。
催化劑是SCR系統的重要組成部分,它的性能直接影響到SCR系統的整體脫硝效果。目前國內使用的催化劑通常1~2年就要更換一次。催化劑置換費用約占系統總價的50%,所以研究催化劑中毒的原因,延長催化劑的使用壽命對降低SCR系統的運行費用意義重大。在實際工況中,砷中毒是引起催化劑鈍化的常見原因之一。典型的砷中毒是由于煙氣中含有As2O3引起的, As2O3分散到催化劑中并固化在活性、非活性區域,使反應氣體在催化劑內的擴散受到限制,且毛細管遭到破壞。這種由相變引起的催化劑中毒是不可逆的,對 SCR運行影響巨大。
1 煤燃燒過程中砷的遷移規律
煤炭是一種復雜的天然礦物,各種煤中砷的含量變化很大,一般為每公斤3~45mg。煤中的砷多數以硫化砷或硫砷鐵礦(FeS2·FeAs2)等形式存在,小部分為有機物形態。美國的煤含砷量為0.6~16ppm,南非煤含砷量為0~8ppm,英國煤中砷含量可高達220ppm。由于煤本身不均勻的自然特性,因此我國煤中砷的變化也比較大,As含量從0.5~80ppm不等,一般來說,我國西南部,特別是貴州的煤中As含量非常高。
煤在燃燒過程中由于高溫和強烈的氧化作用,會釋放出As。As在煤中的賦存狀態不同,燃煤過程中砷釋放的難易程度也不同。
As在燃燒產物中的存在形態決定了其對環境的影響程度。若把燃煤產物分成底渣、除塵器飛灰和進入大氣的煙氣三個部分,As在飛灰中富集的濃度明顯高于底灰中的濃度,而且隨著煤灰粒度的變小,As在其中富集的濃度增大,即在灰中的含量與煤灰的粒度成反比。根據在某熱電廠選取3個典型樣品,計算As在燃燒產物中的分布情況,見表1。
![]() |
從表1可以看出,As元素主要分布于電除塵器飛灰和煙氣中,由于煤粉爐中飛灰量遠大于底渣量,從而表現出飛灰中的As元素份額遠大于底渣中的份額。
2 砷中毒對SCR影響的動力學分析
為了分析砷氧化物濃度和催化劑失活的關系,用實驗的方法測定氧化砷濃度與催化劑阻滯作用動力學關系。選用神華煤,煤炭成分檢測見表2。
![]() |
經過燃燒實驗測得煙氣中的NOx濃度為126ppm,砷濃度為11.93ppm,使煙氣以100~200m3 /h的速度通過尺寸為50×30×1(mm)的V2O5/TiO2催化劑,NH3/NOx為 1.0,反應溫度控制在350℃,反應時間62小時。實驗裝置如圖1所示。
![]() |
用As/TiO2表示砷的沉積情況,k0和k分別表示 NOx在初始時間和反應進行中的速率,詳見圖2。
![]() |
從以上結果可推測以下結論:
(1)砷飽和層幾乎沒有活性,即催化劑表面活性被砷完全破壞;
(2)砷并不從飽和層擴散到催化劑內部,因此內部催化劑保持初始活性;
(3)砷飽和層阻擋反應物擴散到內部催化劑;
(4)這種阻礙能力的大小與砷飽和層的厚度(用 As/TiO2表示砷的沉積情況)成正比。
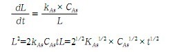
實驗研究表明,砷首先在催化劑表面發生反應,然后滲入催化劑內部,形成一個砷的飽和層。將這個飽和層的厚度設為L,計算L隨時間 t 的變化規律:
![]() |
飽合層的厚度為oc(時間×砷的濃度)1/2 ,所以 Loc As/TiO2=A·(t×CAs ) 1/2 其中:t—反應時間;CAs —砷的濃度;KAs —砷沉積的速率。以橫軸為(CAs ×t)1/2 ,縱軸為As/TiO2作砷濃度隨時間的變化圖(如圖3)。
![]() |
斜率為0.6,即A也為0.6
![]() |
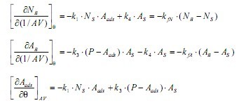
SCR反應器中NO 的反應為:
![]() |
其中:NB—煙氣中的NOx濃度(ppm);AB—煙氣中NH3的濃度(ppm);Ns—催化劑表面的NOx濃度(ppm);KfN—催化劑表面NOx傳質系數(m/h); P—催化劑表面的活性區域(ppm);AV—表面速度(m/h);Aads —參與反應的NH3的濃度(ppm); K1,K3,K4—反應速率常數;KfA—催化劑表面NH3傳質系數(m/h);AS—催化劑表面NH3的濃度(ppm)。
在穩定狀態下
![]() |
![]() |
其中k2—反應速率常數;k0—初始階段的速率常數;kp—表面NOx傳質系數;kf—內部NOx傳質系數;Kobs —砷中毒后的速率常數。
以As/TiO2為橫軸,k0/k為縱軸做砷中毒造成的催化劑活性變化圖 (見圖4)。
![]() |
斜率為0.235,即k0B也為0.235.
![]() |
為驗證這個公式,對照國外幾家電廠SCR系統催化劑運行情況的數據作圖(見圖5)。
![]() |
由圖5可見,計算值和實際值基本符合,因此該公式可以作為實際工作中估算砷對催化劑毒性的依據。
3 去除砷影響的一些方法
現階段去除砷對催化劑影響的方法主要有:
(1)煤燃燒前,采用物理化學方法在減少原煤中灰分的同時減少富集在灰分中的As元素量;
(2)降低反應爐溫度,待氣態As元素自然凝聚成核后用除塵器捕集,以減少As量元素揮發量;
(3)燃燒和反應過程中加入添加劑(如高嶺土、石灰石、石灰、白云石、醋酸鈣、醋酸鎂等),通過物理和化學吸附控制氣態As元素的排放量;
(4)將尾氣通過洗滌設備,除去水溶性的As化合物及吸附在飛灰顆粒上的As元素;
(5)尾部噴射添加劑(如活性炭、石灰、硅藻土等)粉末,使吸附后的As元素不易淋濾。
參考文獻:
[1] 高潤良,王睿. 氮氧化物污染防治技術進展[J].環境保護科學, 2002(8): 1-3.
[2] 鐘秦. 燃煤煙氣脫硫脫硝技術及工程實例[M].北京:化學工業出版社, 2002.
[3] 韋章兵, 姜旭峰, 吳艷麗. 燃煤SO2、NOX污染和防治及同時脫硫脫硝技術 [J]. 潔凈煤技術,1997(2): 49-51.
[4] Shigeru Nojima, Kozo lida, Norihisa Kobayashi, et al. Development of NOX removal SCR Catalyst for low SO2 oxidation [J].Technical Review, 2001,38(2): 87-91. [6] Masayoshi Ichiki,Takehiro Shimizu, Poisoning kinetics by arsenic on the DeNOx catalyst.Japan:International Conference on Power Engineering. ? ? ?

使用微信“掃一掃”功能添加“谷騰環保網”