氧化溝的設計方法討論
氧化溝的設計方法討論
目前,我國(guo)(guo)(guo)氧化(hua)(hua)溝(gou)技(ji)術(shu)(shu)水平與(yu)國(guo)(guo)(guo)際先(xian)進水平相比差距很大。究(jiu)其原因,是我國(guo)(guo)(guo)還未系(xi)統地研究(jiu)氧化(hua)(hua)溝(gou)技(ji)術(shu)(shu)與(yu)設(she)備,對(dui)國(guo)(guo)(guo)際上氧化(hua)(hua)溝(gou)技(ji)術(shu)(shu)跟蹤也不(bu)夠(gou)。故對(dui)氧化(hua)(hua)溝(gou)技(ji)術(shu)(shu)的(de)掌握尚(shang)不(bu)夠(gou)全面,在工(gong)程上還缺乏系(xi)統和科(ke)學的(de)設(she)計(ji)方法,對(dui)氧化(hua)(hua)溝(gou)新工(gong)藝、新池型、新配套設(she)備了解甚少。我國(guo)(guo)(guo)現已(yi)引進數種氧化(hua)(hua)溝(gou)技(ji)術(shu)(shu),應(ying)有條件來分(fen)析比較和吸(xi)收消化(hua)(hua)。
首(shou)先,氧(yang)化(hua)溝(gou)(gou)(gou)(gou)屬(shu)延時曝氣(qi)活(huo)性污泥工(gong)藝(yi),其(qi)(qi)原理和(he)(he)參(can)(can)(can)數(shu)已有大量文(wen)獻報道。氧(yang)化(hua)溝(gou)(gou)(gou)(gou)設(she)計(ji)(ji)(ji)中(zhong)(zhong)除了要(yao)(yao)考(kao)(kao)慮(lv)碳源污染物的(de)(de)去(qu)(qu)除,還要(yao)(yao)考(kao)(kao)慮(lv)污水(shui)硝化(hua)和(he)(he)污泥穩定(ding)化(hua)問題。去(qu)(qu)除不(bu)同(tong)(tong)的(de)(de)污染物,設(she)計(ji)(ji)(ji)參(can)(can)(can)數(shu)和(he)(he)方法是(shi)不(bu)同(tong)(tong)的(de)(de)。例如,考(kao)(kao)慮(lv)污泥穩定(ding)的(de)(de)氧(yang)化(hua)溝(gou)(gou)(gou)(gou)設(she)計(ji)(ji)(ji),其(qi)(qi)設(she)計(ji)(ji)(ji)參(can)(can)(can)數(shu)主(zhu)要(yao)(yao)考(kao)(kao)慮(lv)污泥齡和(he)(he)內(nei)源呼吸速率(lv),而不(bu)是(shi)傳統活(huo)性污泥工(gong)藝(yi)中(zhong)(zhong)的(de)(de)污泥負荷(he),這(zhe)時氧(yang)化(hua)溝(gou)(gou)(gou)(gou)的(de)(de)停留時間事實上(shang)是(shi)一個導出的(de)(de)參(can)(can)(can)數(shu)。其(qi)(qi)次氧(yang)化(hua)溝(gou)(gou)(gou)(gou)最重要(yao)(yao)的(de)(de)特點之一是(shi),專(zhuan)用(yong)的(de)(de)曝氣(qi)設(she)備需要(yao)(yao)同(tong)(tong)時滿足(zu)池內(nei)充(chong)氧(yang)和(he)(he)推(tui)動水(shui)沿溝(gou)(gou)(gou)(gou)渠流動的(de)(de)要(yao)(yao)求。全面了解(jie)(jie)和(he)(he)掌握氧(yang)化(hua)溝(gou)(gou)(gou)(gou)的(de)(de)水(shui)力(li)學(xue)特性尤為需要(yao)(yao)。有關設(she)備的(de)(de)水(shui)力(li)學(xue)特性,是(shi)廠家產品的(de)(de)特性。大部分設(she)計(ji)(ji)(ji)單位恰恰掌握不(bu)夠,致使在(zai)設(she)計(ji)(ji)(ji)中(zhong)(zhong)由(you)于(yu)設(she)備型(xing)號和(he)(he)參(can)(can)(can)數(shu)不(bu)準,常常導致設(she)計(ji)(ji)(ji)沒有達(da)到(dao)預期效果。這(zhe)也與大多數(shu)氧(yang)化(hua)溝(gou)(gou)(gou)(gou)工(gong)藝(yi)及其(qi)(qi)擁有的(de)(de)專(zhuan)利和(he)(he)設(she)備密切相(xiang)關。由(you)于(yu)國外公司對專(zhuan)有技(ji)術(shu)保密,因(yin)此出現了氧(yang)化(hua)溝(gou)(gou)(gou)(gou)技(ji)術(shu)不(bu)斷發(fa)展,可(ke)是(shi)用(yong)于(yu)了解(jie)(jie)基本(ben)工(gong)藝(yi)的(de)(de)公開技(ji)術(shu)資料未見增加的(de)(de)現象。由(you)此就更需要(yao)(yao)加強(qiang)創新(xin)性的(de)(de)研究,才能提高(gao)我國在(zai)氧(yang)化(hua)溝(gou)(gou)(gou)(gou)工(gong)藝(yi)上(shang)的(de)(de)技(ji)術(shu)水(shui)平。本(ben)文(wen)通(tong)過對國內(nei)外資料的(de)(de)綜合分析,提出氧(yang)化(hua)溝(gou)(gou)(gou)(gou)一般的(de)(de)設(she)計(ji)(ji)(ji)方法以供(gong)國內(nei)同(tong)(tong)行在(zai)設(she)計(ji)(ji)(ji)中(zhong)(zhong)參(can)(can)(can)考(kao)(kao)。
1氧化溝的設計方法
1.1BOD的去除
氧(yang)化溝中碳(tan)源基質去(qu)除動力(li)學(xue)與活性污泥(ni)法動力(li)學(xue)是完全一致的。對(dui)于完全混合系統(tong)在穩定狀態下有以下公式:
![]() |
式中(XV)——參與反應的污泥量
Q——處理污水量
V——參與反應的好氧區體積
S——出水基質BOD5濃度
Y——污泥產率系數
X——污泥濃度
θc——污泥齡
S0——進水基質BOD5濃度
Ks——半飽和常數
Kd——內源代謝常數
μmax——比(bi)基質利(li)用率
1.2硝化反應
氨氮的(de)硝(xiao)化(hua)反應涉及到亞硝(xiao)化(hua)毛桿(gan)菌和硝(xiao)化(hua)桿(gan)菌兩種不同(tong)的(de)硝(xiao)化(hua)細菌。
在水的作用下:2NH3NH+4
在亞硝化毛桿菌作用下:
2NH+4+3O22NO-2+2H2O+8H+
在硝化桿菌作用下:
2NO-2+O22NO-3
總的反應:
NH4++2O2NO3-+2H++H2O
因此從化(hua)(hua)學計量學角度,1.0kg氮需(xu)要4.6kg的(de)(de)氧(yang),實(shi)際生(sheng)(sheng)產中(zhong)的(de)(de)數(shu)據較(jiao)小(xiao),為3.9~4.3kgO2/kgN。這是(shi)因為一部分氮用于細菌合成(cheng),并且硝化(hua)(hua)細菌可以從污水中(zhong)二(er)氧(yang)化(hua)(hua)碳(tan)和重碳(tan)酸(suan)鹽獲得(de)一部分氧(yang)。由于上述(shu)反應產生(sheng)(sheng)氫離(li)子,所以會消耗堿度,每氧(yang)化(hua)(hua)1mgNH3-N消耗7.14mg/L的(de)(de)堿度。另外從文(wen)獻可知氧(yang)化(hua)(hua)1mgBOD產生(sheng)(sheng)0.3mg/L的(de)(de)堿度[2]。
據報道硝(xiao)化反應(ying)的(de)溫度范(fan)圍是(5~45)℃,但(dan)(dan)是(25~32)℃是最佳溫度范(fan)圍。最佳的(de)pH范(fan)圍是7.8~9.2。雖然硝(xiao)化過程也(ye)可在低溶解(jie)氧的(de)條件下發(fa)生,但(dan)(dan)是硝(xiao)化菌的(de)生長速率較低。為了避免氧的(de)限制,反應(ying)池中(zhong)的(de)溶解(jie)氧最好(hao)控制在3~4mg/L。溫度對生長速度的(de)影響公式可以(yi)(yi)用阿(a)倫繆斯公式表示(shi),其中(zhong)溫度常(chang)數(shu)θ=1.12(5℃~20℃)。對于城市污水可以(yi)(yi)采(cai)用表1中(zhong)污泥齡θc
表(biao)1硝化(hua)工藝在不同(tong)溫度(du)下采用(yong)的污(wu)泥齡(ling)
|
在(zai)冬季水(shui)溫低(di)于10℃,如(ru)果θc<10d,硝(xiao)(xiao)化(hua)反應一般(ban)進行(xing)較差。若θc>10d,只要氧(yang)化(hua)溝(gou)的曝氣能(neng)力可滿足總(zong)的氧(yang)化(hua)需求,并(bing)且保持較高的溶解(jie)氧(yang),即可取得(de)很好的硝(xiao)(xiao)化(hua)率。在(zai)北(bei)歐國家,硝(xiao)(xiao)化(hua)負荷階(jie)段一般(ban)選在(zai)0.05~0.10kgBOD5/kgMLSS,硝(xiao)(xiao)化(hua)速率大(da)約為(wei)1.6mgNH3-N/(gVSS*d)(10℃)。
1.3污泥穩定性
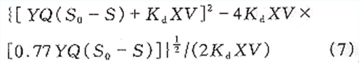
在氧(yang)(yang)(yang)化(hua)溝(gou)設計中考慮的(de)(de)第二個因素是污(wu)泥的(de)(de)穩定性問題(ti)。理論(lun)上講(jiang)氧(yang)(yang)(yang)化(hua)溝(gou)污(wu)泥齡的(de)(de)選取應該使得(de)所(suo)有的(de)(de)揮(hui)發性固體通過(guo)內源呼吸(xi)全(quan)部被降(jiang)(jiang)(jiang)解(jie)(jie),無論(lun)是厭氧(yang)(yang)(yang)消(xiao)(xiao)化(hua)還是好氧(yang)(yang)(yang)消(xiao)(xiao)化(hua)。如果(guo)反應時間足夠長,細胞(bao)降(jiang)(jiang)(jiang)解(jie)(jie)過(guo)程中有23%的(de)(de)殘余物為(wei)不(bu)可(ke)生物降(jiang)(jiang)(jiang)解(jie)(jie)。因為(wei)每天(tian)VSS產(chan)量為(wei)YQ(S0-S),其中可(ke)生物降(jiang)(jiang)(jiang)解(jie)(jie)部分是0.77YQ(S0-S)。如果(guo)系(xi)統中可(ke)以生物降(jiang)(jiang)(jiang)解(jie)(jie)部分的(de)(de)固體物質(zhi)是fbX(fb為(wei)VSS可(ke)生物降(jiang)(jiang)(jiang)解(jie)(jie)系(xi)數),則在穩定狀態:
0.77YQ(S0-S)=Kdfb(XV)(5)
從而按照污泥齡的定義:
![]() |
Adams和Eckenfelder給(gei)出了混合(he)液VSS可以(yi)生物(wu)降解部分的比值fb的計算公式[3]:
![]() |
也可推算出(chu)污泥負荷(he)(F/M)的比值:
![]() |
方程(6)和(he)(he)(8)是考慮(lv)污泥穩(wen)定性問題時污泥齡(ling)和(he)(he)有(you)(you)機(ji)負荷(he)計算公式(shi)。無疑溫度對于上述公式(shi)中參數(shu)Y、Kd的(de)影響是十分重要的(de)。對于延時曝(pu)氣氧化溝溫度常數(shu)(θ=1.01~1.03)數(shu)值(zhi)較小(xiao),因(yin)此對溫度的(de)影響不大。污泥穩(wen)定化要求的(de)有(you)(you)機(ji)負荷(he)和(he)(he)污泥齡(ling)一般遠遠超(chao)過(guo)完全(quan)硝化所要求的(de)數(shu)值(zhi)。
1.4脫氮反應
在沒有溶解氧(缺氧)條件下,雖然在氧化溝的主體溶液中存在溶解氧,但缺氧條件事實上是指微生物生長的微環境(即生物絮體中或生物膜中)。除碳的異養微生物可以利用硝酸鹽和亞硝酸鹽作為電子受體,將其還原成氮。還原1.0mgN2產生2.86kgO2。污水如需脫氮,需要去除的氮量ΔN(kg/d)為:
ΔN=Q(N0-N)-ΔX×fN(9)
式中N0、N——進、出水總氮濃度
ΔX——剩余污泥量
fN——剩余污泥的含氮量(liang),一般為(wei)0.07kgN/kgMLVSS
脫氮需要考慮排放污泥中細胞的氮含量。按照細胞合成的碳氮磷的比例為C∶N∶P=106∶16∶1,即污泥中最多包含12.3%的N和2.6%的P。一般在內源呼吸階段,不可生物降解部分僅僅包含7%的N和1%的P,剩余污泥中的其他N、P回到主體溶液中。因此污泥中的含氮量依賴于污泥齡(θc),污泥齡越長,污泥中的含氮量越小。由需要去除的氮量,確定反
硝化的污泥量:
(VX)dn=ΔN/Kdn(10)
式中(VX)dn——參與脫氮反應的污泥量,kg
Kdn——污泥(ni)脫(tuo)氮負荷,kgNO-3-N/(kgMLSS.d)
1.5氧化溝的總污泥量
氧化溝的總污泥量(VX)T和總容積計算如下:
(VX)T=[(XV)+(VX)dn]/fa(11)
VT=(XV)T/(fa.X)(12)
對于不同類型的氧(yang)化(hua)(hua)溝(gou),需要引入(ru)有(you)效性(xing)系數fa,其(qi)(qi)中帶有(you)體外(wai)沉淀池的氧(yang)化(hua)(hua)溝(gou)fa=1.0,而其(qi)(qi)他類型的氧(yang)化(hua)(hua)溝(gou)fa是不同的。以三(san)(san)溝(gou)式氧(yang)化(hua)(hua)溝(gou)為例,如果(guo)假設三(san)(san)溝(gou)是等體積的,則fa如下計(ji)算:
![]() |
式中XS1,2——邊溝MLSS濃度
Xm——中溝MLSS濃度
tS——邊溝一個周期的時間
tS1,2——邊溝一個周期內的工作時間
tm——中溝在一個周期(qi)內的工作(zuo)時(shi)間
假設污泥在氧化溝內分布均勻,t為三個溝一周期總停留時間(包括沉淀)之和,則:
fa=(tS1+tm+tS1)/t(14)
1.6剩余污泥
雖然(ran)動力學設計能(neng)確定生物污泥(ni)產量(liang),應考慮沉淀(dian)池(chi)的固體流失(shi)量(liang)和存在的惰性物質,可以采用下式計算(suan):
![]() |
式中ΔS——去除BOD5
Xi——進水懸浮固體中惰性部分
Xe——出水(shui)TSS
氧化溝(gou)以常規(gui)模式(shi)運行(xing)時(shi),會產生不穩定的剩余污(wu)(wu)(wu)泥(ni)(ni),應在處置前加以穩定,氧化溝(gou)以延時(shi)曝氣(qi)模式(shi)運行(xing)時(shi),污(wu)(wu)(wu)泥(ni)(ni)量(liang)少且穩定。根據回流污(wu)(wu)(wu)泥(ni)(ni)量(liang)和(he)剩余污(wu)(wu)(wu)泥(ni)(ni)量(liang)可(ke)以選擇(ze)水泵和(he)污(wu)(wu)(wu)泥(ni)(ni)處理系(xi)統。
1.7氧(yang)化溝(gou)需氧(yang)量和曝氣(qi)設備
在氧化溝系統,考慮以下幾個過程的需氧量:總需氧量(D)=氧化有機物需氧+細胞內源呼吸需氧+硝化過程需氧-脫氮過程產氧
D=a′Q(S0-S)+b′ΔX.f+4.6(N0-N)-0.07ΔX.f-2.6ΔNO-3(16)
式中f——MLVSS/MLSS
ΔNO-3——被還原的NO-3
需氧(yang)量(liang)D(AOR)確定之(zhi)后,并轉化(hua)為標準(zhun)狀態(tai)需氧(yang)量(liang)(SOR)。在標準(zhun)狀態(tai)需氧(yang)量(liang)確定之(zhi)后,根據(ju)不(bu)同設備廠(chang)家(jia)的(de)(de)表曝(pu)(pu)機樣本(ben)和(he)手(shou)冊(ce),計算出氧(yang)化(hua)溝(gou)系統(tong)的(de)(de)總能(neng)耗(hao)。總能(neng)耗(hao)一旦確定,就可以確定氧(yang)化(hua)溝(gou)曝(pu)(pu)氣器的(de)(de)數目、氧(yang)化(hua)溝(gou)外形(xing)和(he)分組情況(kuang)。
![]() |
式中α——不同污水的氧轉移速率參數,對生活污水取值0.5~0.95
β——不同污水的飽和溶解氧參數,對生活污水取值0.90~0.97
ρ——大氣壓修正參數
CS——溫度(du)T時飽和溶解氧
2設(she)計結果(guo)和問題討論
2.1設計對比
為了說明氧化溝的設計過程,以邯鄲三溝式氧化溝的數據為例,說明幾個設計上的問題。根據下列數據設計處理生活污水的交替式氧化溝(三溝):
進水:
BOD5=130mg/L
NH3-N=22mg/L(T=10℃)
TN=42mg/L
SS=160mg/L
堿度=280mg/L(以CaCO3計)
出水:
BOD5<15mg/L
NH3-N<2~3mg/L(T=10℃)
TN<10~12mg/L(T=10℃)
TN=6~8mg/L(T=25℃)
TSS<20mg/L
最低溫度=10℃(最高溫度=25℃)
邯鄲(dan)氧化溝是(shi)按(an)三個(ge)系列,每個(ge)系列流量(liang)Q1=33000m3/d,主(zhu)要設計結果(guo)見表2。
2.2原設計存在的(de)問題(ti)
清華大(da)學周律等(deng)人[4、5]對邯鄲氧化溝進行了大(da)量的(de)現場測定工作(zuo),總結起來也是以(yi)下三個問題:
①停留時(shi)(shi)間(jian)與反應時(shi)(shi)間(jian)問(wen)題:出(chu)水NH3-N偏高(gao),通過(guo)實驗發現延長硝化停留時(shi)(shi)間(jian),可(ke)以降低出(chu)水的(de)NH3-N。這說(shuo)明(ming)原設(she)計的(de)停留時(shi)(shi)間(jian)雖(sui)然對于BOD的(de)去除充分(fen),但(dan)對于脫氮其停留時(shi)(shi)間(jian)是(shi)不夠的(de)。上述(shu)問(wen)題可(ke)能也與污泥齡和(he)運行方式(shi)有關。
②污泥(ni)(ni)(ni)停留時間問題:通過污泥(ni)(ni)(ni)耗氧速率(lv)和懸浮物(wu)干重(zhong)損失率(lv)等評價污泥(ni)(ni)(ni)穩(wen)(wen)定化實驗方法,對其污泥(ni)(ni)(ni)進(jin)行測(ce)定的結(jie)果(guo)表(biao)明:經(jing)過處理的污泥(ni)(ni)(ni)尚未得到穩(wen)(wen)定。
③三(san)(san)溝(gou)(gou)式氧化(hua)溝(gou)(gou)的(de)(de)容積利用率(lv)問題:從前面的(de)(de)討論可知(zhi)三(san)(san)溝(gou)(gou)式氧化(hua)溝(gou)(gou)本(ben)身(shen)的(de)(de)容積利用率(lv)較低(58%)。在邯(han)鄲(dan)測得(de)三(san)(san)溝(gou)(gou)中MLSS為5.3、2.0、5.0kg/m3。fa=0.40與上述的(de)(de)理(li)想(xiang)狀態相差很大(da)。三(san)(san)條溝(gou)(gou)的(de)(de)MLSS分(fen)布(bu)與設計的(de)(de)分(fen)布(bu)情(qing)況有較大(da)差距,這是(shi)三(san)(san)溝(gou)(gou)式氧化(hua)溝(gou)(gou)運行及設計的(de)(de)一個主要問題。
|

使用微信“掃一掃”功能添加“谷騰環保網”